額定頻率是電動機一個重要的銘牌數據,在變頻調速時,電機運行在額定頻率以下為佳。電機運行于高于額定頻率很多的狀態,危害很大(如某工廠渣處理攪籠電機,50Hz,90kW。為了調節合適的轉速,通常運行于70Hz附近)。
首先,由于電機的運行頻率升高會使定子和轉子電抗增大,使電機電流下降,而降低電動機的電磁轉矩,即降低電動機帶負載的能力。其次,會使電動機鐵損和發熱量增大。
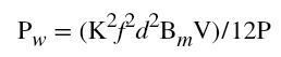
三相異步電動機鐵心損耗分為磁滯損耗(Ph)和渦流損耗(Pw),計算Ph與Pw:
……1
……2
式中Kh:材料系數;Bm:感應主磁場強度幅值;V:鐵心體積;d:疊片厚度;K:比例系數;a:材料系數;p:硅鋼片電阻率。
從1、2兩式可知,電動機的磁滯損耗(Ph)與供電頻率成正比;電機的渦流損耗(Pw)與供電頻率的平方成正比。電機的運行頻率升高會使鐵耗大幅上升,發熱量大幅增加。
以下具體分析渣處理攪籠電機71Hz與50Hz運行頻率損耗之比:


從以上計算結果可知,攪籠電機運行頻率由50Hz提升到71Hz,磁滯損耗增加了42%,渦流損耗增加了102%。粗略分析攪籠電機一年在50Hz增加到71Hz運行頻率,增加的鐵耗如下:該電機的效率為89%,電動機的空載損耗基本上是鐵耗,電動機帶上負載增加的損耗是銅損。由于定子和轉子線圈的直流電阻很低,銅耗遠遠低于鐵損,一般鐵耗占總損耗的60%以上。取鐵損為總耗損的60%,則該電機的鐵損為:
90x(1-89%)x60%=6.93kW
電機的損耗主要為鐵損,而鐵耗主要為渦流損耗。取磁滯損耗和渦流損耗因運行上升到71Hz而增加鐵損的平均數,則鐵損增加率為:
(42%+102%)/2=72%
也就是說電機運行頻率由50Hz上升到71Hz.增加的鐵損為:
6.93x72%=4.99kW
一年增加電耗計算如下:高爐一天出鐵14次,一次出渣時間為70min,攪籠一天工作時間為:
14x70/60=16.3h
一年作業350天,一臺攪籠機一年工作時間為:
16.3x350=5705h
攪籠電機運行頻率從50Hz上升到71Hz,增加的鐵損為:4.99×5705=25324.25kWH,按0.6元/kWh計算,一年增加電耗金額:25324.25x0.6=15194.55元。
解決的辦法:既要保證攪籠機運行速度又要保證變頻器運行頻率在50Hz處,最佳的辦法就是更換電機,把90kW 8極電機更換為90kW6極電機是比較好的辦法,6極電機53Hz運行頻率相當于8極電機71Hz運行頻率的轉速。
上一篇:不確定度、準確度、精度定義及比較
下一篇:電動汽車電池充電方法簡介