繼電保護測試儀的直流電壓輸出校準是一項中要的檢測項目,對其直流電壓輸出進行校準可有效保障繼電保護設備的檢試驗工作準確有效進行。下面本文主要根據繼電保護測試儀檢定規范介紹其直流電壓輸出相關誤差限值要求及校準操作。
繼電保護測試儀的電壓輸出幅值為0~300V,輸出直流電壓幅值的變化最小步長應為10mV。在額定工作條件下,繼電保護測試儀的輸出電壓幅值基本誤差滿足以下條件:
——在0~5V范圍內,基本誤差應不超過±25mV;
——在5V~300V范圍內,基本誤差應不低于±0.5%。
當繼電保護測試儀輸出直流電壓為0~300V時,直流電壓中的交流分量的峰-峰值應不大于輸出設定值的1%。
被試繼電保護測試儀接通及斷開直流電壓時的響應時間應小于1ms。
注:響應時間為電壓值由10%電壓值上升至90%電壓值或由90%電壓值下降至10%電壓值的時間。
繼電保護測試儀直流電壓的校準接線示意圖如圖1所示。

圖1:直流電壓校準接線示意圖
分別設置測試儀輸出直流電壓(直流電壓的輸出校準點為5V、30V、90V、150V、200V、250V),用校準標準分別測試直流電壓輸出值誤差。
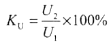
設置繼電保護測試儀輸出直流電壓,用直流電壓表測量直流電壓值U1和用峰-峰值電壓表測量交流分量的峰-峰值U2(如圖2所示),計算直流電壓的紋波系數KU。

當使用有效值電壓表測量交流分量U2時,直流電壓的紋波系數KU應為

式中:
U’2——交流分量的有效值。

圖2:直流電壓的紋波系數測量接線圖
設置繼電保護測試儀三種試驗狀態為:
第一種狀態:輸出直流電壓為0;
第二種狀態:輸出直流電壓為測試儀所能輸出的最小電壓值Umin或最大電壓值Umax;
第三種狀態:輸出直流電壓為0。
試驗時,被試繼電保護測試儀的試驗狀態由第一種狀態進入第二種狀態,再由第二種狀態進入第三種狀態。試驗過程中,測試儀輸出的直流電壓由0突升至設定值,再由設定值突降至0。用數字存儲示波器記錄試驗過程中測試儀輸出直流電壓的波形,在波形圖上測量直流電壓由10%上升到90%電壓值或由90%下降到10%電壓值的時間。
上一篇:與柔性輸電相關的術語